Use Sophia to knock out your gen-ed requirements quickly and affordably.
Learn more
Sign In
Help
Become a Member
Try for Free
Sign In
Password
Sign In
Forgot your Password?
Create an Account
Or
Close Popup
First, please create an account
Already have a Sophia account?
Sign in
Email Address
Password
Confirm Password
By providing your information, you consent to receive occasional special promotional offers and education opportunities by email via automated technology from Sophia Learning. Consent is not required to purchase goods or services. You also agree to Sophia's
Terms of Use
and Sophia's
Privacy Policy
You can always call us at 1.800.341.0327. See our most recent
privacy notice.
Create Account
×
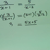
Solving Algebraic Fraction Equations
Author:
RobertOB
Source: Video created by RobertOB