Use Sophia to knock out your gen-ed requirements quickly and affordably. Learn more
×

Solving a Quadratic Equation using the Quadratic Formula

Author: Sophia
what's covered
This tutorial covers how to solve quadratic equations using the quadratic formula, through the definition and discussion of:
  1. Quadratic Equations: A Review
  2. The Quadratic Formula: A Review
  3. Solving Quadratic Equations with the Quadratic Formula


1. Quadratic Equations: A Review

In review, a quadratic equation is an equation that can be written in the following form, where a, b, and c are real numbers:

a x squared plus b x plus c equals 0

Factoring, or variable isolation, may be used to solve some quadratic equations, but not all. The quadratic formula, however, can be used to find solutions to all quadratic equations, even when factoring or variable isolation is difficult or impossible. Therefore, sometimes it is necessary to use the quadratic formula to find solutions to a quadratic equation.


2. The Quadratic Formula: A Review

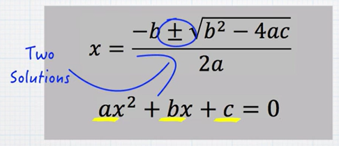
You may recall that the quadratic formula states that the solution(s) to a quadratic equation, x, are equal to:

formula to know
Quadratic Formula
x equals fraction numerator negative b plus-or-minus square root of b squared minus 4 a c end root over denominator 2 a end fraction

The values for a, b, and c in the quadratic formula come from the values of a, b, and c in the quadratic equation. The plus-minus symbol here indicates that a quadratic equation may have two solutions.

File:1369-quadratic1.PNG

did you know
When working with the quadratic formula, you often have to simplify square roots using the product property, as shown below, or by recognizing perfect squares.
formula to know
Product Property of Roots
square root of a b end root equals square root of a times square root of b


3. Solving Quadratic Equations with the Quadratic Formula

Suppose you want to solve the quadratic equation:

x squared plus 7 x minus 4 equals 0

You can solve this equation using the quadratic formula. From the equation, you can see that there is no written number in front of x^2, meaning that there is an implied coefficient of 1. Therefore, a equals 1. You can also see that b equals 7 and c equals -4.

File:1372-quadratic2.PNG

Substituting these values into the formula provides:

x equals fraction numerator negative 7 plus-or-minus square root of 7 squared minus 4 left parenthesis 1 right parenthesis left parenthesis negative 4 right parenthesis end root over denominator 2 left parenthesis 1 right parenthesis end fraction

You can simplify the numerator and the denominator separately. Simplifying the denominator is simple:

x equals fraction numerator negative 7 plus-or-minus square root of 7 squared minus 4 left parenthesis 1 right parenthesis left parenthesis negative 4 right parenthesis end root over denominator 2 end fraction

Next, you can simplify the numerator, which is more complicated, because it involves the plus-minus symbol, square roots, and other operations. You start underneath the square root. moving left to right. 7^2 is 49, and 4 times -1 is -16. You now have 49 minus -16, which is the same as 49 plus 16, which equals 65. The square root of 65 cannot be further simplified, so you’d leave it as written.

File:1374-quadratic3.PNG

You now have the following solution, which can be separated into its two parts by separating the plus and the minus symbols.

File:1375-quadratic4.PNG

You can further simplify both of these fractions into two separate fractions each:

x equals fraction numerator negative 7 over denominator 2 end fraction plus fraction numerator square root of 65 over denominator 2 end fraction space space space space space space space space space space x equals fraction numerator negative 7 over denominator 2 end fraction minus fraction numerator square root of 65 over denominator 2 end fraction
try it
Use what you’ve learned so far to solve the following quadratic equation, using the quadratic formula.
2 x squared minus 8 x minus 3 equals 0
From the equation, you can see that:
  • a = 2
  • b = -8
  • c = -3

File:1376-quadratic5.PNG

Notice that b is already a negative number, so when you substitute it into the formula, you have a -(-8), which is a +8.
x equals fraction numerator 8 plus-or-minus square root of left parenthesis negative 8 right parenthesis squared minus 4 left parenthesis 2 right parenthesis left parenthesis negative 3 right parenthesis end root over denominator 2 left parenthesis 2 right parenthesis end fraction
Start by simplifying in the denominator:

x equals fraction numerator 8 plus-or-minus square root of left parenthesis negative 8 right parenthesis squared minus 4 left parenthesis 2 right parenthesis left parenthesis negative 3 right parenthesis end root over denominator 4 end fraction
Next, simplify in the numerator, starting with the operations underneath your square root.
File:1606-fix3.PNG

Now you can simplify the square root of 88 as the square root of 4 times the square root of 22, using the product property of radicals. The square root of 4 is 2, so your solution is:
x equals fraction numerator 8 plus-or-minus 2 square root of 22 over denominator 4 end fraction
You can separate this into the two solutions:

File:1378-quadratic8.PNG

You can also separate each of these solutions into separate fractions:
x equals 8 over 4 plus fraction numerator 2 square root of 22 over denominator 4 end fraction space space space space space space space space space space x equals 8 over 4 minus fraction numerator 2 square root of 22 over denominator 4 end fraction space space space space space space space space space space
In this form, you can see that you can simplify these fractions further, so your fully simplified solutions are:
x equals 2 plus fraction numerator square root of 22 over denominator 2 end fraction space space space space space space space space space space x equals 2 minus fraction numerator square root of 22 over denominator 2 end fraction

summary
Today you reviewed quadratic equations, noting that factoring, or variable isolation, may be used to solve some, but not all, quadratic equations. You also reviewed the quadratic formula, which can be used when solving all quadratic equations, even when factoring or variable isolation is difficult or impossible. You learned that before using the quadratic formula, the equation must be equal to 0 in order to determine the correct values of a, b, and c to use in the formula.

Source: This work is adapted from Sophia author Colleen Atakpu.

Formulas to Know
Product Property of Square Roots

square root of a b end root equals square root of a times square root of b

Quadratic Formula

x equals fraction numerator negative b plus-or-minus square root of b squared minus 4 a c end root over denominator 2 a end fraction